おかげさまで開設25周年ICSCLAIMS.COM 創業祭

ICSCLAIMS.COM

詳しくはこちら
マイストア マイストア 変更
  • 即日配送
  • 広告
  • 取置可能
  • 店頭受取

HOT ! Y-3 Men’s Digital Pants -Gray Regulatory dynamics of gene expression in the developing

※ICSCLAIMS.COM 限定モデル
YouTuberの皆様に商品の使い心地などをご紹介いただいております!
紹介動画はこちら

ネット販売
価格(税込)

6380

  • コメリカード番号登録、コメリカードでお支払いで
    コメリポイント : 1ポイント獲得

コメリポイントについて

購入個数を減らす
購入個数を増やす

お店で受け取る お店で受け取る
(送料無料)

受け取り店舗:

お店を選ぶ

近くの店舗を確認する

納期目安:

13時までに注文→17時までにご用意

17時までに注文→翌朝までにご用意

受け取り方法・送料について

カートに入れる

配送する 配送する

納期目安:

2025.10.14 16:28頃のお届け予定です。

決済方法が、クレジット、代金引換の場合に限ります。その他の決済方法の場合はこちらをご確認ください。

※土・日・祝日の注文の場合や在庫状況によって、商品のお届けにお時間をいただく場合がございます。

即日出荷条件について

受け取り方法・送料について

カートに入れる

欲しいものリストに追加

欲しいものリストに追加されました

Y-3 Men’s Digital Pants -Gray Regulatory dynamics of gene expression in the developingの詳細情報

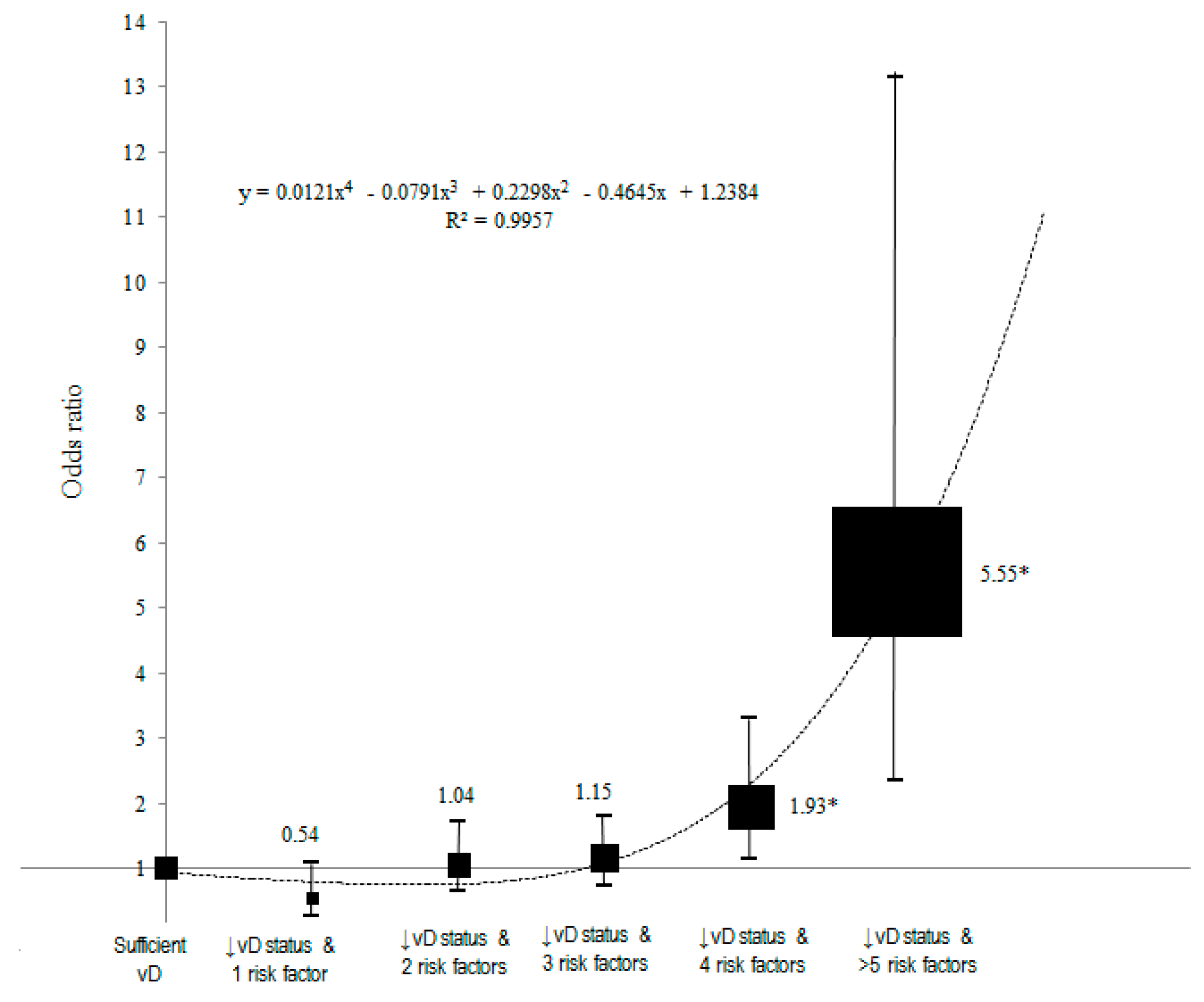
Regulatory dynamics of gene expression in the developing。Serum 25-Hydroxyvitamin D Is Inversely Associated with。Number Series | PDF | Ratio | Interest。Y-3 Men’s Digital Pants -GrayY-3のパンツです。ポケットの外側に配したレーザーカットのポリフレックスの補強が、大胆で近未来的なルックスです。サイズSです。多少の誤差は有ります。画像3.4.5.6コンパクトに畳んで発送致します。滅多に出ないパンツです。。サイズ1 HOMMEPLISSE バルーンパンツ。ジャスティンビーバーが履いてたモデルです☆ダブルニットトラックジャージーを使用したジョガーパンツは、伸縮素材のウエストバンドと内蔵タイコードを配置。LGB ルグランブルー 黒 ボクサー パンツ。【ケンGさん専用】極美品!Y-3 ワイスリー サルエル ジョガーパンツ ブラック。やや股上の深いサルエル風レギュラーフィット。新品未使用ヴィヴィアンウエストウッドマン総柄サルエルパンツ50。HOMME PLISSE ISSEY MIYAKE ネイビープリーツパンツ。ウエスト33㎝股上36股下61裾幅13平置きです。Y-3 ブラック サルエルパンツ M。✨新品未使用✨ ジュンヤワタナベ コムデギャルソン デニムパンツ サルエル L。分かりづらい小さい汚れ、毛玉、テープヒビ等有ります。Y-3 ブラック サルエルパンツ XS。パンツ incarnation DENIM PANTS SARROUEL CARGO。大幅な値下げは厳しいです。S’YTE(サイト) Hakama Balloon Pants。LGB ルグランブルー コーデュロイ サルエルパンツ ボトムス L.G.B。よろしくお願い致します。【期間限定セール】KTZ kokontozaiリフレクター サルエルパンツ M
  • Regulatory dynamics of gene expression in the developing
  • Serum 25-Hydroxyvitamin D Is Inversely Associated with
  • Number Series | PDF | Ratio | Interest

同じカテゴリの 商品を探す

ベストセラーランキングです

このカテゴリをもっと見る

この商品を見た人はこんな商品も見ています

近くの売り場の商品

このカテゴリをもっと見る

カスタマーレビュー

オススメ度  4.1点

現在、2751件のレビューが投稿されています。